2.有理分式的积分
[化成基本真分式法] 设R(x)是一个具有实系数的真分式,则R(x)的积分可化成它分解出的基本真分式(第一章,§1)的积分,并且
![]()
式中
仍为一有理函数,并且还是真分式,H(x)一般是超越函数(对数函数和反正切函数).
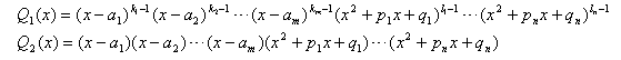
[奥斯特洛格拉特斯基方法] 任一真分式
的积分可以写为
![]()
式中
,
为真分式,

![]()
和
的系数可利用待定系数法从关系式

中求出.