1. 行列式及其拉普拉斯展开定理
[n阶行列式] 设

是由排成n阶方阵形式的n2个数aij(i,j=1,2,...,n)确定的一个数,其值为n!项之和
![]()
式中k1,k2,...,kn是将序列1,2,...,n的元素次序交换k次所得到的一个序列,Σ号表示对k1,k2,...,kn取遍1,2,...,n的一切排列求和,那末数D称为n阶方阵相应的行列式.例如,四阶行列式是4!个形为
的项的和,而其中a13a21a34a42相应于k=3,即该项前端的符号应为
(-1)3.
若n阶方阵A=(aij),则A相应的行列式D记作
D=|A|=detA=det(aij)
若矩阵A相应的行列式D=0,称A为奇异矩阵,否则称为非奇异矩阵.
[标号集] 序列1,2,...,n中任取k个元素i1,i2,...,ik满足
1≤i1<i2<...<ik≤n (1)
i1,i2,...,ik构成{1,2,...,n}的一个具有k个元素的子列,{1,2,...,n}的具有k个元素的满足(1)的子列的全体记作C(n,k),显然C(n,k)共有
个子列.因此C(n,k)是一个具有
个元素的标号集(参见第二十一章,§1,二),C(n,k)的元素记作σ,τ,...,
σ∈C(n,k)表示
σ={i1,i2,...,ik}
是{1,2,...,n}的满足(1)的一个子列.若令τ={j1,j2,...,jk}∈C(n,k),则σ=τ表示i1=j1,i2=j2,...,ik=jk.
[子式 · 主子式 · 余子式 ·代数余子式]
从n阶行列式D中任取k行与k列(1≤k≤n-1),由这k行与k列交点处的元素构成的k阶行列式称为行列式D的k阶子式,记作
,
σ,τ∈C(n,k)
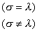
如果所选取的k行k列分别是第i1,i2,...,ik行与第i1,i2,...,ik列,则所得到的k阶子式称为主子式.即当σ=τ∈C(n,k)时,
是主子式.
从行列式D中划去k行(σ)与k列(τ)后得到的n-k阶行列式称为子式
的余子式,记作
.
如果σ={ i1,i2,...,ik},τ={ j1,j2,...,jk},则称
![]()
![]()
为子式
的代数余子式.
特别,当k=1时,σ={i},τ={j},子式
就是一个元素aij,
aij的余子式记作
,aij的代数余子式记作Aij,即
![]()
![]()
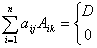
且有
(2)
或
(3)
[拉普拉斯展开定理] 在n阶行列式D中任取k行(1≤k≤n-1),那末包含于所选定的这些行中的所有k阶子式与它们各自的代数余子式的乘积之和等于行列式D,即对任意σ∈C(n,k),1≤k≤n-1,
(4)
式中∑表示对标号集C(n,k)中的所有元素求和.
拉普拉斯定理中是对行进行的,对列有类似结果
![]()
(5)
此外还有
![]()
(6)
![]()
(7)
显然(2),(3)分别是(6),(7)的特例.
[拉普拉斯恒等式]
设A=(aij)m´
n,B=(bij) m´
n(m≥n),又设l=
,A的所有n阶子式为U1,U2,...,Ul,B的相应的n阶子式为V1,V2,...,Vl,则
det(AτB)=![]()