| 三、四格表x[SB]2[/SB]值的校正 | 《预防医学》 |
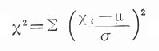
三、四格表x[SB]2[/SB]值的校正x2值表是数理统计根据正态分布中 只是一种近似,在自由度大于1、理论数皆大于5时,这种近似很好;当自由度为1时,尤其当1<T<5,而n>40时,应用以下校正公式:
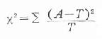
如果用四格表专用公式,亦应用下式校正:
例20.8某医师用甲、乙两疗法治疗小儿单纯性消化不良,结果如表20-14。试比较两种疗法效果有无差异? 表20-14 两种疗法效果比较的卡方较正计算
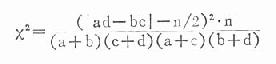
从表20-14可见,T1.2和T2.2数值都<5,且总例数大于40,故宜用校正公式(20.15)检验。步骤如下: 1.检验假设: H0:π1=π2 H1:π1≠π2 α=0.05 2.计算理论数:(已完成列入四格表括弧中) 3.计算x2值:应用公式(20.15)运算如下:
查x2界值表,x20.05(1)=3.84,故x2<x20.05(1),P>0.05. 按α=0.05水准,接受H0,两种疗效差异无统计学意义。 如果不采用校正公式,而用原基本公式,算得的结果x2=4.068,则结论就不同了。 如果观察资料的T<1或n<40时,四格表资料用上述校正法也不行,可参考预防医学专业用的医学统计学教材中的精确检验法直接计算概率以作判断。
|
返回目录 |